
«« Пред. | ОГЛАВЛЕНИЕ | След. »»
Часть 2. Участковая избирательная комиссия - ключевое звено в организации подготовки и проведения выборов всех уровней
2.1. Полномочия участковой избирательной комиссии, статус и обязанности членов комиссии
Полномочия участковой избирательной комиссии, статус ее членов при подготовке и проведении выборов в федеральные органы государственной власти Российской Федерации, органы государственной власти и местного самоуправления субъектов Российской Федерации устанавливаются Федеральным законом «Об основных гарантиях избирательных прав и права на участие в референдуме граждан Российской Федерации», федеральными конституционными законами, федеральными законами, конституциями, законами субъектов Российской Федерации, уставами муниципальных образований (далее - Избирательное законодательство).
2.1.1. Полномочия участковой избирательной комиссии
Участковая избирательная комиссия:
- информирует население об адресе и номере телефона участковой избирательной комиссии, времени ее работы, а также дне, времени и месте голосования;
- уточняет, а в случаях, предусмотренных избирательным законодательством, составляет и уточняет список избирателей, проводит ознакомление избирателей со списком избирателей, рассматривает заявления об ошибках и неточностях в списке избирателей и решает вопросы о внесении в него соответствующих изменений;
- обеспечивает подготовку помещений для голосования, переносных и стационарных ящиков для голосования и другого оборудования;
- обеспечивает информирование избирателей о зарегистрированных кандидатах на основе сведений, полученных из вышестоящей избирательной комиссии;
- контролирует на территории избирательного участка соблюдение порядка проведения предвыборной агитации, правил размещения предвыборных агитационных материалов в соответствии с требованиями избирательного законодательства;
- в случаях, предусмотренных избирательным законодательством, выдает избирателям открепительные удостоверения на право участия в выборах;
- по предъявлению гражданином открепительного удостоверения включает его в список избирателей;
- по указанию вышестоящей избирательной комиссии вносит изменения в избирательные бюллетени после их изготовления;
- организовывает на избирательном участке голосование в день выборов, а также обеспечивает досрочное голосование в соответствии с избирательным законодательством;
- производит подсчет голосов, устанавливает итоги голосования на избирательном участке, обеспечивает передачу протокола об итогах голосования в вышестоящую избирательную комиссию;
- обеспечивает хранение и передачу документов, связанных с подготовкой и проведением выборов различного уровня, в соответствии с порядком, утвержденным постановлением ЦИК РФ либо избирательной комиссией субъекта Российской Федерации;
- рассматривает заявления и жалобы по вопросам подготовки выборов, проведения голосования и принимает по ним мотивированные решения;
- осуществляет иные полномочия в соответствии с избирательным законодательством.
2.1.2. Сроки полномочий участковой избирательной комиссии и ее членов
Полномочия участковой избирательной комиссии истекают через 10 дней со дня официального опубликования общих результатов выборов, если в адрес вышестоящей избирательной комиссии не поступило жалоб (заявлений) и протестов на решения и действия (бездействие) данной избирательной комиссии, в результате которых были нарушены порядок голосования и порядок подсчета голосов, и если по данным фактам не ведется судебное разбирательство.
В случае обжалования или опротестования итогов голосования на соответствующем участке, полномочия участковой избирательной комиссии прекращаются после вынесения вышестоящей избирательной комиссией или судом окончательного решения по существу жалобы (заявления) или протеста (п. 13 ст. 23 Федерального закона «Об основных гарантиях избирательных прав и права на участие в референдуме граждан Российской Федерации»).
Срок полномочий членов участковой избирательной комиссии с правом решающего голоса:
1) истекает одновременно с прекращением полномочий этой избирательной комиссии (п. 4 ст. 24 Федерального закона «Об основных гарантиях избирательных прав и права на участие в референдуме граждан Российской Федерации»);
2) прекращается в случае расформирования избирательной комиссии (ст. 25 Федерального закона «Об основных гарантиях избирательных прав и права на участие в референдуме граждан Российской Федерации»).
Расформирование участковой избирательной комиссии не влечет прекращения полномочий ее членов с правом совещательного голоса.
Полномочия члена УИК с правом совещательного голоса могут быть прекращены по решению лица или органа, назначивших данного члена избирательной комиссии и переданы другому лицу.
Общие результаты выборов направляются избирательной комиссией средствам массовой информации в срок от трех до одиннадцати дней в соответствии с требованиями избирательного законодательства. Официальное опубликование общих результатов выборов в СМИ осуществляется в течении трех дней.
Таким образом, полномочия УИК истекают:
- на выборах Президента РФ - через 23 дня после дня голосования;
- на местных выборах - через 16 дней после дня голосования.
2.1.3. Статус членов участковой избирательной комиссии
Членами участковой избирательной комиссии с правом решающего голоса
не могут быть:
- депутаты законодательных (представительных) органов государственной власти, органов местного самоуправления;
- выборные должностные лица органов государственной власти РФ и выборные должностные лица органов государственной власти субъектов РФ и выборные должностные лица органов местного самоуправления;
- судьи, прокурорские работники;
- кандидаты, зарегистрированные кандидаты, их доверенные лица;
- уполномоченные представители избирательных объединений, избирательных блоков, выдвинувших кандидатов;
- члены и уполномоченные представители инициативных групп избирателей, выдвинувших кандидатов;
- члены избирательных комиссий с правом совещательного голоса;
- супруги и близкие родственники кандидатов, зарегистрированных кандидатов, лица, которые находятся в непосредственном подчинении у кандидатов, зарегистрированных кандидатов.
Член участковой избирательной комиссии с правом решающего голоса не может быть одновременно членом вышестоящей, соответственно уровню выборов, избирательной комиссии с правом решающего голоса.
Члену участковой избирательной комиссии с правом решающего голоса, освобожденному на период подготовки и проведения выборов от основной работы, сохраняется средний заработок по месту основной работы. Дополнительная оплата труда указанным членам избирательной комиссии может производиться за счет средств, выделенных на проведение выборов, в размерах и порядке, установленных избирательной комиссией, на которую законом возложено руководство деятельностью участковой избирательной комиссии (МИК, ТИК, ОИК) по подготовке и проведению соответствующих выборов.
Член избирательной комиссии с правом решающего голоса в период проведения выборов не может быть привлечен к уголовной ответственности без согласия прокурора субъекта Российской Федерации, подвергнут мерам административного взыскания, налагаемым в судебном порядке.
Член участковой избирательной комиссии с правом решающего голоса в период проведения соответствующих выборов не может быть по инициативе администрации (работодателя) уволен с работы или без его согласия переведен на другую работу.
Освобождение членов избирательных комиссий от обязанностей
члена избирательной комиссии
Член избирательной комиссии с правом решающего голоса освобождается от обязанностей члена избирательной комиссии до истечения срока полномочий по решению органа, его назначившего, в случае:
· подачи членом избирательной комиссии заявления в письменной форме о сложении своих полномочий;
· утраты членом избирательной комиссии гражданства РФ;
· вступления в законную силу обвинительного приговора суда в отношении члена избирательной комиссии;
· признания члена избирательной комиссии решением суда, вступившим в законную силу, недееспособным, ограниченно дееспособным, безвестно отсутствующим или умершим;
· смерти члена избирательной комиссии;
· признания члена избирательной комиссии на основании заявления соответствующей избирательной комиссии решением суда, вступившим в законную силу, систематически не выполняющим обязанности;
· появления оснований, предусмотренных первым абзацем п.п. 2.1.2. настоящего методического пособия.
Права членов избирательных комиссий
Член участковой избирательной комиссии как с правом решающего, так и с правом совещательного голоса:
· заблаговременно извещается о заседаниях соответствующей избирательной комиссии;
· вправе выступать на заседании избирательной комиссии, вносить предложения по вопросам, входящим в компетенцию соответствующей избирательной комиссии, и требовать проведения по данным вопросам голосования;
· вправе задавать другим участникам заседания избирательной комиссии вопросы в соответствии с повесткой дня и получать на них ответы по существу;
· вправе знакомиться с любыми документами и материалами (в том числе со списками избирателей, избирательными бюллетенями), включая документы и материалы, находящиеся на машиночитаемых носителях, соответствующей и нижестоящих избирательных комиссий и получать копии этих документов и материалов (за исключением копий списков избирателей, избирательных бюллетеней и открепительных удостоверений), требовать заверения этих копий;
· вправе обжаловать решения и действия (бездействие) избирательной комиссии в вышестоящую комиссию или в суд.
Член комиссии с правом совещательного голоса обладает всей полнотой прав члена комиссии с правом решающего голоса по вопросам подготовки и проведения выборов, за исключением:
- права выдачи открепительных удостоверений;
- права выдачи и подписания избирательных бюллетеней;
- участия в сортировке и подсчете избирательных бюллетеней;
- участия в погашении избирательных бюллетеней и открепительных удостоверений;
- участия в работе со списками избирателей, составлении протоколов об итогах голосования, голосовании при принятии решения данной комиссией;
- права подписывать решения избирательной комиссии.
Член участковой избирательной комиссии как с правом решающего, так и с правом совещательного голоса немедленно отстраняется от участия в ее работе, если он пытается воспрепятствовать работе избирательной комиссии либо осуществлению гражданином Российской Федерации своих избирательных прав, а также нарушает тайну голосования. Решение об этом принимается участковой или вышестоящей избирательной комиссией.
Обязанности членов избирательной комиссии:
Член избирательной комиссии с правом решающего голоса обязан:
· присутствовать на всех заседаниях избирательной комиссии;
· проводить избирательные действия гласно и открыто;
· оказывать содействие кандидатам, доверенным лицам кандидатов, наблюдателям, представителям СМИ в реализации их прав, определенных избирательным законодательством;
· участвовать в работе избирательной комиссии в соответствии с поручением, утвержденным комиссией;
· участвовать в подготовке вопросов, вносимых на рассмотрение избирательной комиссии;
· выполнять иные поручения комиссии и ее председателя.
2.2. Формирование участковых избирательных комиссий
2.2.1. Порядок формирования избирательных комиссий
Формирование участковых избирательных комиссий осуществляется представительным органом (представительными органами) местного самоуправления на основе предложений избирательных объединений, избирательных блоков, общественных объединений, собраний избирателей по месту жительства, работы, службы, учебы не позднее трех дней после образования соответствующих избирательных участков.
Подбор кандидатур, формирование персонального состава членов комиссий представительным органом местного самоуправления осуществляются гласно и открыто, с привлечением общественности и избирателей. Численный состав членов участковых избирательных комиссий с правом решающего голоса устанавливается избирательным законодательством и в зависимости от числа избирателей, зарегистрированных на территории избирательного участка, составляет:
- до 1000 избирателей - 3-7 членов комиссии;
- от 1001 до 2000 избирателей - 5-11 членов комиссии;
- свыше 2000 избирателей - 5-15 членов комиссии.
В случае совмещения дня голосования на выборах в федеральные органы государственной власти РФ с днем голосования на выборах в органы государственной власти субъектов РФ, органы местного самоуправления, максимальное число членов УИК с правом решающего голоса может быть увеличено, но не более чем на четыре члена комиссии.
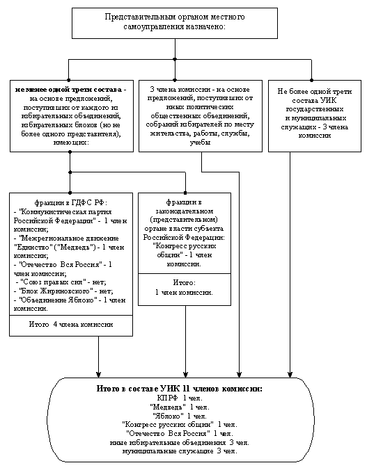
Представительный орган местного самоуправления обязан назначить не менее одной трети состава участковой избирательной комиссии на основе предложений, поступивших от каждого из избирательных объединений, избирательных блоков, имеющих фракции в Государственной Думе Федерального Собрания Российской Федерации, а также на основе предложений избирательных объединений, избирательных блоков, имеющих фракции в законодательном (представительном) органе государственной власти субъекта Российской Федерации и (или) в представительном органе местного самоуправления. При этом может быть назначено не более одного представителя от каждого из избирательных объединений или блоков.
Государственные служащие и лица, замещающие должности муниципальной службы в органах местного самоуправления, не могут составлять более одной трети от общего числа членов участковой избирательной комиссии.
Практика подготовки и проведения выборов в ряде регионов Российской Федерации подтверждает обоснованность включения в составы УИК, прежде всего, лиц, ранее принимавших участие в выборах либо проходивших обучение избирательным технологиям по региональным программам, разработанным комиссиями субъектов Российской Федерации в межвыборный период.
В городе Азове Ростовской области в 1998-99 годах муниципальной избирательной комиссией практиковался подбор студентов юридического факультета Азовского института экономики, управления и права с последующей рекомендацией их представительному органу местного самоуправления для включения в составы УИК. Такая практика существенно повышала уровень работы комиссий, одновременно помогая студентам закрепить полученные знания.
Утверждение персонального состава каждой УИК оформляется решением (постановлением) представительного органа местного самоуправления (Приложение 1) (форма).
После завершения первого организационного заседания секретарь участковой избирательной комиссии составляет развернутый список членов участковой избирательной комиссии с правом решающего голоса (Приложение 2) (форма). Каждому члену комиссии с правом решающего голоса выдается удостоверение (Приложение 5).
Образцы документов к п. 2.2.1.
1. Решение о назначении состава участковых избирательных комиссий (Приложение 1) (форма)
2. Состав участковой избирательной комиссии избирательного участка (Приложение 2) (форма)
3. Образцы удостоверений члена участковой избирательной комиссии (Приложение 5)
2.2.2. Порядок назначения члена участковой избирательной комиссии с правом совещательного голоса
После регистрации кандидата (списка кандидатов) соответствующей избирательной комиссией зарегистрированный кандидат, избирательное объединение, избирательный блок, выдвинувшие список кандидатов, вправе назначить в участковые избирательные комиссии по одному члену комиссии с правом совещательного голоса.
Полномочия члена избирательной комиссии с правом совещательного голоса удостоверяются в письменной форме зарегистрированным кандидатом (Приложение 3) (форма) (избирательным объединением, избирательным блоком (Приложение 4) (форма)) с указанием фамилии, имени, отчества, места жительства, а также наименования избирательной комиссии, номера избирательного участка, куда направляется член комиссии с правом совещательного голоса. Данный документ действителен при предъявлении паспорта или заменяющего его документа.
Зарегистрированный кандидат вправе поручить назначение члена УИК с правом совещательного голоса своему доверенному лицу.
Членам участковой избирательной комиссии с правом совещательного голоса выдается удостоверение (Приложение 6), форма которого утверждается вышестоящей избирательной комиссией.
Образцы документов к п. 2.2.2.
1. Заявление о назначении члена комиссии от зарегистрированного кандидата (Приложение 3) (форма)
2. Заявление о назначении члена комиссии от избирательного объединения (Приложение 4) (форма)
3. Образцы удостоверений члена участковой избирательной комиссии (Приложение 6)
Пример формирования УИК в составе 11 членов комиссии
на выборах Президента Российской Федерации 26 марта 2000 года
(Вариант)

Увеличить
2.2.3. Порядок проведения организационного заседания участковой избирательной комиссии
Федеральные законы «О выборах Президента РФ», «О выборах депутатов Государственной Думы Федерального Собрания РФ», избирательные законы ряда субъектов РФ устанавливают срок проведения первого заседания УИК не позднее чем через три дня после ее формирования.
На основании постановления представительного органа местного самоуправления о формировании участковых избирательных комиссий проводится первое организационное заседание участковой избирательной комиссии, на котором тайным голосованием избираются председатель, заместитель председателя и секретарь избирательной комиссии из числа членов комиссии с правом решающего голоса.
Первое заседание избирательной комиссии до избрания ее председателя открывает и ведет старейший по возрасту член данной комиссии.
В повестку дня организационного заседания, как правило, включаются вопросы выборов председателя комиссии, заместителя председателя, секретаря.
Кроме того, практикой проведения избирательных кампаний различного уровня подтверждена целесообразность рассмотрения на первом заседании вопроса о порядке работы избранных председателя, зам. председателя и секретаря комиссии, а также иных ее членов. Открытым голосованием принимается решение, кто из указанных лиц на период подготовки и проведения выборов освобождается от основной работы.
В целях упорядочения процедуры проведения организационного заседания ниже приводится пример порядка его ведения.
Пример
Порядок проведения первого организационного заседания
участковой избирательной комиссии
Дата проведения: _________
Начало: _________ час.
Место проведения: _________
_______________________________
Уважаемые члены комиссии!
«___» __________ 2000 г. представительным органом местного самоуправления сформирована участковая избирательная комиссия избирательного участка N ______ по выборам _____________________________________________________ в составе ________ членов
избирательной комиссии с правом решающего голоса. Все члены комиссии присутствуют на заседании. Позвольте их представить поименно (зачитывает состав комиссии).
Уважаемые коллеги!
Число присутствующих членов комиссии позволяет нам открыть заседание и рассмотреть организационные вопросы. Кто за это предложение прошу голосовать. «За» ______ чел. Кто против? «Против» ______ чел.
Заседание комиссии объявляю открытым.
Предлагается следующая повестка дня:
1. Избрание председателя комиссии.
2. Избрание заместителя председателя комиссии.
3. Избрание секретаря комиссии.
Будут ли у членов комиссии замечания по повестке дня? Нет? Кто за то, чтобы утвердить предложенную повестку дня прошу голосовать.
«За» _____ чел. Кто против? «Против» ______ чел.
Повестка дня утверждается.
Приступаем к рассмотрению первого вопроса повестки дня - избрание председателя участковой избирательной комиссии. Напоминаю, что председатель УИК избирается тайным голосованием. У кого есть предложения по кандидатурам на должность председателя УИК?
Слово для предложения предоставляется:
1. _________________________;
2. _________________________;
3. _________________________.
(Председательствующий записывает фамилии выдвинутых кандидатур.)
Другие предложения по кандидатурам на должность председателя комиссии будут?
Есть ли у выдвинутых кандидатов самоотводы? (самоотвод не голосуется)
Есть ли желающие высказаться по кандидатурам? Пожалуйста.
Есть ли еще желающие высказаться? Нет. Обсуждение завершено.
Кто за то, чтобы кандидатуру (ы) ____________________________________________
внести в бюллетень для тайного голосования по выборам председателя участковой избирательной комиссии прошу голосовать.
(Ведет подсчет голосов и обнародует результаты.)
«За» ______ чел.; «Против» _____ чел.
Таким образом, в бюллетень для тайного голосования по выборам председателя участковой избирательной комиссии вносятся следующие кандидатуры (называются в порядке поступления предложений): _________________________________________________.
Уважаемые члены комиссии!
Напоминаю, что в соответствии с п. 4 статьи 23 Федерального закона «О выборах Президента Российской Федерации» члены участковой избирательной комиссии с правом решающего голоса на своем первом заседании избирают тайным голосованием из числа членов избирательной комиссии с правом решающего голоса председателя, заместителя председателя и секретаря участковой избирательной комиссии.
Для проведения указанной процедуры необходимо избрать счетную комиссию. Вносится предложение избрать счетную комиссию в составе трех членов открытым голосованием большинством голосов от числа присутствующих членов участковой избирательной комиссии. Кто за это предложение прошу голосовать: «За» _____ чел. Кто против? «Против» _____ чел.
Прошу вносить предложения по составу счетной комиссии.
(Председательствующий записывает предложенные кандидатуры).
Уважаемые коллеги!
Поступили предложения избрать в состав счетной комиссии:
фамилия, имя, отчество кандидатов
Как будем голосовать списком или по каждой кандидатуре отдельно? Списком.
Тогда, кто за то, чтобы в состав счетной комиссии избрать:
(Оглашаются фамилии всех кандидатов).
Прошу голосовать: «За» ____ чел.; Кто против? «Против» _____ чел;
Таким образом, счетная комиссия избрана в составе: _________________________________
Для организации работы счетной комиссии предлагается объявить перерыв на 5 минут. Счетной комиссии необходимо подготовиться к проведению тайного голосования.
Нет возражений?
Объявляется перерыв на 5 минут.
(Во время перерыва счетная комиссия на своем заседании избирает председателя и секретаря, о чем составляет протокол N 1 (форма).
Изготавливает форму и текст бюллетеня для тайного голосования (форма) по выборам председателя участковой избирательной комиссии. Готовит конверты для опечатывания бюллетеней после подсчета голосов.
По окончании работы счетной комиссии члены участковой избирательной комиссии приглашаются для продолжения заседания).
Коллеги! Продолжаем заседание. Слово предоставляется председателю счетной комиссии ________________________________________________.
(Зачитывается протокол N 1 счетной комиссии).
Нам необходимо утвердить протокол N 1 счетной комиссии. Кто за то, чтобы утвердить протокол N 1, прошу голосовать: «За» ____ чел; Кто против? «Против» _____ чел.
Протокол утверждается.
Нам необходимо утвердить форму бюллетеня для тайного голосования по избранию председателя, заместителя председателя и секретаря участковой избирательной комиссии. Слово для предложения предоставляется председателю счетной комиссии _________________.
(Предъявляются формы избирательных бюллетеней. Даются пояснения.)
Будут ли у членов избирательной комиссии замечания по форме бюллетеня? Нет. Тогда прошу проголосовать за предложенные счетной комиссией формы бюллетеня.
Кто за? «За» _____ чел.; Кто против? «Против» _____ чел.
Утверждается.
Слово по тексту бюллетеня для тайного голосования по выборам председателя участковой избирательной комиссии предоставляется председателю счетной комиссии ___________.
(Председатель счетной комиссии зачитывает текст бюллетеня по выборам председателя участковой избирательной комиссии.)
Есть ли у кого замечания? Нет. Тогда прошу проголосовать за предложенный текст бюллетеня: «За» _____ чел. Кто против? «Против» _____ чел.
Уважаемые коллеги! Счетной комиссии необходимо время для изготовления бюллетеней и подготовки процедуры тайного голосования.
Объявляется перерыв на 5 минут.
(В перерыве счетная комиссия изготавливает необходимое количество бюллетеней для тайного голосования, подготавливает место для тайного голосования, ведомость выдачи избирательных бюллетеней).
После изготовления бюллетеней счетная комиссия приглашает членов участковой избирательной комиссии для продолжения заседания.
Продолжаем нашу работу. Слово предоставляется председателю счетной комиссии _____________________ для разъяснения порядка голосования.
Будут ли вопросы к ________________________________.
(После этого председатель счетной комиссии в присутствии членов комиссии предъявляет и опечатывает ящик для голосования).
Переходим к голосованию.
(Каждому члену избирательной комиссии председатель счетной комиссии под роспись выдает бюллетень, на котором в присутствии членов избирательной комиссии расписываются члены счетной комиссии.
После окончания голосования председатель счетной комиссии объявляет голосование законченным и в присутствии членов избирательной комиссии подсчитывает и погашает неиспользованные бюллетени.
Счетная комиссия в присутствии членов избирательной комиссии вскрывает ящик для голосования и проверяет действительность бюллетеней. Ведет подсчет голосов. Оформляет Протокол N 2 (форма)).
Председательствующий:
Слово предоставляется председателю счетной комиссии __________________________.
(Зачитывает протокол N 2 счетной комиссии.)
Предлагается утвердить протокол N 2 счетной комиссии.
Кто за? «За» ____ чел. Кто против? «Против» ____ чел.
Утверждается.
На основании протокола N 2 счетной комиссии о результатах тайного голосования по выборам председателя участковой избирательной комиссии нам необходимо принять постановление комиссии об избрании председателя участковой избирательной комиссии.
Вашему вниманию предлагается следующий проект постановления участковой избирательной комиссии (зачитывает).
Кто за данный проект постановления прошу голосовать.
Кто за? «За» ___чел.; Кто против? «Против» ____ чел.
Постановление принимается.
Уважаемый ______________________________ !
Разрешите поздравить Вас с избранием председателем участковой избирательной комиссии. Все мы искренне желаем Вам успехов в организации четкой, оперативной и слаженной работы избирательной комиссии. Прошу Вас занять место председательствующего на заседании и продолжить рассмотрение вопросов повестки дня.
(Далее заседание ведет председатель участковой избирательной комиссии.)
Уважаемые коллеги!
Продолжаем нашу работу.
Напомню, что заместитель председателя и секретарь участковой избирательной комиссии избираются членами комиссии с правом решающего голоса из своего состава тайным голосованием.
Приступаем к выдвижению кандидатур на должности заместителя председателя и секретаря участковой избирательной комиссии. Позвольте мне внести предложения по кандидатурам.
Спасибо.
(Вносит предложения и дает краткую характеристику каждой кандидатуре.)
Есть ли у выдвинутых кандидатов самоотводы?
Есть ли у членов комиссии другие предложения?
(Записывает предложения кандидатов на должность зам. председателя и секретаря комиссии.)
Есть ли у кандидатов желание что-то сказать? Нет.
Кто за то, чтобы ___________________________________________
внести в бюллетень для тайного голосования по выборам заместителя председателя участковой избирательной комиссии прошу голосовать (ведет подсчет голосов и обнародует результаты). «За» ____ чел. Кто против? «Против» ____ чел.
Таким образом, в бюллетень для тайного голосования по выборам заместителя председателя участковой избирательной комиссии вносятся следующие кандидатуры: __________________________________________________
Кто за то, чтобы ____________________________ внести в бюллетень
для тайного голосования по выборам секретаря участковой избирательной комиссии, прошу голосовать (ведет подсчет голосов и обнародует результаты) «За» ___чел.
Кто против? «Против» ___ чел.
Таким образом, в бюллетень для тайного голосования по выборам секретаря участковой избирательной комиссии вносятся следующие кандидатуры (называются в порядке поступления предложений) _________________________________________________.
Уважаемые коллеги!
Теперь необходимо время для работы счетной комиссии. Предлагается объявить перерыв на 10 минут для того, чтобы счетная комиссия обеспечила подготовку к тайному голосованию.
Нет возражений? Объявляется перерыв на 10 минут.
(Во время перерыва счетная комиссия изготавливает тексты бюллетеней для тайного голосования по выборам заместителя председателя и секретаря участковой избирательной комиссии, подготавливает ведомость выдачи избирательных бюллетеней. По окончании работы счетной комиссии члены участковой избирательной комиссии приглашаются для продолжения заседания.)
Уважаемые коллеги!
Продолжаем заседание избирательной комиссии.
Нам необходимо утвердить тексты бюллетеней для тайного голосования по выборам заместителя председателя и секретаря участковой избирательной комиссии.
Слово для предложения предоставляется председателю счетной комиссии _____________.
Будут ли у членов избирательной комиссии замечания по тексту бюллетеней? Нет. Тогда прошу проголосовать за предложенные счетной комиссией тексты бюллетеней для тайного голосования.
«За» ____ чел. Кто против? «Против» ___ чел.
Будут ли вопросы к председателю счетной комиссии? Переходим к голосованию.
(Председатель счетной комиссии опечатывает ящик для голосования. Каждому члену участковой избирательной комиссии председатель счетной комиссии выдает под роспись бюллетень по выборам зам. председателя и секретаря участковой избирательной комиссии, на которых в присутствии членов избирательной комиссии расписываются члены счетной комиссии.
После окончания голосования председатель счетной комиссии объявляет голосование законченным и в присутствии членов избирательной комиссии подсчитывает и погашает неиспользованные бюллетени.
Счетная комиссия в присутствии членов избирательной комиссии вскрывает ящик для голосования и проверяет действительность бюллетеней. Ведет подсчет голосов. Оформляет протокол N 3 (форма) и протокол N 4 (форма)).
Председательствующий:
Уважаемые коллеги!
Продолжаем нашу работу.
Слово предоставляется председателю счетной комиссии ___________________.
(Зачитывает протокол N 3 счетной комиссии)
Кто за то, чтобы утвердить протокол N 3 счетной комиссии, прошу голосовать.
«За» ____ чел. Кто против? «Против» ____ чел.
На основании протокола N 3 счетной комиссии о результатах голосования нам необходимо принять постановление участковой избирательной комиссии об избрании заместителя председателя избирательной комиссии.
Предлагается следующий проект постановления участковой избирательной комиссии (зачитывается).
Кто за данный проект постановления, прошу голосовать.
«За» ____ чел. Кто против? «Против» _____ чел.
Постановление принимается.
Слово предоставляется председателю счетной комиссии ___________________.
(Зачитывается протокол N 4 счетной комиссии.)
Кто за то, чтобы утвердить протокол N 4 счетной комиссии, прошу голосовать.
«За» _____ чел. Кто против? «Против» _____ чел. Постановление принимается.
На основании протокола N 4 счетной комиссии о результатах голосования нам необходимо принять постановление участковой избирательной комиссии об избрании секретаря избирательной комиссии. Предлагается следующий проект постановления участковой избирательной комиссии (зачитывается).
Кто за данный проект постановления, прошу голосовать.
«За» ____ чел. Кто против? «Против» ____ чел. Постановление принимается.
Уважаемые коллеги!
Все вопросы, вынесенные на первое заседание участковой избирательной комиссии, рассмотрены. Есть ли у членов комиссии какие-либо вопросы, сообщения, замечания по ведению заседания?
Позвольте поблагодарить всех присутствующих за участие в работе заседания участковой избирательной комиссии.
Заседание участковой избирательной комиссии объявляю закрытым.
(После проведения организационного заседания, секретарем участковой избирательной комиссии оформляется Протокол (Приложение 1) (форма). Председатель участковой избирательной комиссии подписывает и вручает каждому члену комиссии с правом решающего голоса удостоверение (Приложение 5, п.2.1.2.). Удостоверение председателю участковой избирательной комиссии подписывается председателем вышестоящей избирательной комиссии.)
Образцы документов к п. 2.2.3.
1. Протокол организационного заседания участковой избирательной комиссии избирательного участка (Приложение 1) (форма).
2. Протокол выбора председателя и секретаря счетной комиссии (Приложение 2) (форма)
3. Протокол заседания счетной комиссии по выборам председателя участковой избирательной комиссии избирательного участка (Приложение 3) (форма)
4. Протокол заседания счетной комиссии по выборам зам. председателя участковой избирательной комиссии избирательного участка (Приложение 4) (форма)
5. Протокол заседания счетной комиссии по выборам секретаря участковой избирательной комиссии избирательного участка (Приложение 5) (форма)
6. Образец избирательного бюллетеня, используется на выборах председателя, заместителя председателя, секретаря участковой избирательной комиссии (Приложение 6) (форма)
7. Образцы удостоверений члена участковой избирательной комиссии (Приложение 5, п.2.1.2.)
«« Пред. | ОГЛАВЛЕНИЕ | След. »»

|