Проблема России — одна элита, пляшущая вокруг президента, панически боящаяся потерять все с его уходом. Смею утверждать, что секунда, в которую произойдет инаугурация нового президента, и будет моментом рождения принципиально новой России.
Матвей Ганапольский
Введите условия поиска
Democracy.ru
Web
Отправить форму поиска
СОДЕРЖАНИЕ:
»
Новости
»
Библиотека
Нормативный материал
Публикации ИРИС
Комментарии
Практика
История
Учебные материалы
Зарубежный опыт
Библиография и словари
Архив «Голоса»
Архив новостей
Разное
»
Медиа
»
X-files
»
Хочу все знать
»
Проекты
»
Горячая линия
»
Публикации
»
Ссылки
»
О нас
»
English
ССЫЛКИ:
09.11.2025, воскресенье. Московское время 20:18
Библиотека
>
Публикации ИРИС
>
Для СМИ
СМИ и предстоящие президентские выборы 2000 года в России
«« Пред.
|
ОГЛАВЛЕНИЕ
|
След. »»
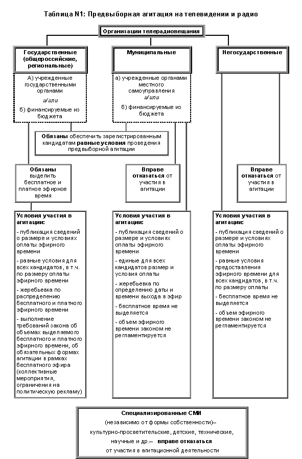
Таблица N 1: Предвыборная агитация на телевидении и радио
Посмотреть таблицу
(открывается в новом окне).
«« Пред.
|
ОГЛАВЛЕНИЕ
|
След. »»
ПУБЛИКАЦИИ ИРИС
МЕТОДИЧЕСКИЕ РЕКОМЕНДАЦИИ ДЛЯ НАБЛЮДАТЕЛЕЙ НА ВЫБОРАХ В ГОСУДАРСТВЕННУЮ ДУМУ ФЕДЕРАЛЬНОГО СОБРАНИЯ РФ 19 ДЕКАБРЯ 1999 ГОДА
Автор:
ИРИС - РОИИП
Форма выпуска:
Брошюра
Издание подготовлено ИРИС на основе практики и материалов Российского общественного института избирательного права (РОИИП) в рамках программы общественного фонда «Гласность» и ИРИС по работе с наблюдателями в Краснодарском крае и Дагестане. – М.: 1999.
Подробнее
>>>
©
Copyright
ИРИС, 1999-2025
Карта сайта